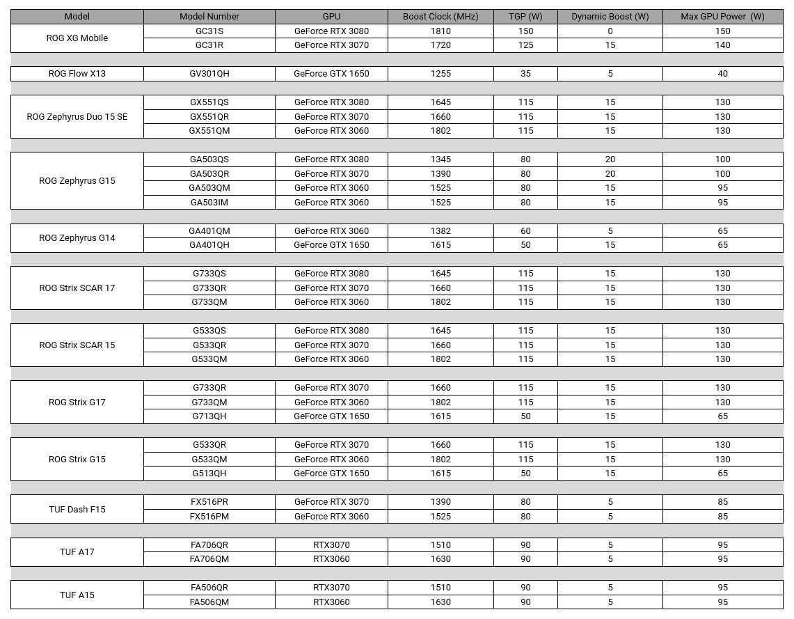
Auf Anfrage von Tweakers hat sich ASUS dazu entschlossen, die vollständigen GPU-Spezifikationen für das gesamte Laptop-GPU-Lineup zu veröffentlichen. Da die Laptops GPUs der NVIDIA GeForce RTX 3000 Serie verwenden, waren sie nicht verpflichtet, den TGP aufzulisten und zu sagen, ob es sich bei der GPU im Inneren um eine Max-Q oder Max-P Variante handelt. Das würde den durchschnittlichen Verbraucher verwirren da eine GPU-Variante deutlich langsamer sein könnte, als erwartet. ASUS hat nicht nur eine Tabelle mit TGPs und Frequenzen veröffentlicht, sondern das Unternehmen hat auch seine Website aktualisiert, um den exakten TDP und die exakte Frequenz jeder GPU, die in einem Laptop verwendet wird, wiederzugeben, um jegliche Verwirrung zu vermeiden und den Verbrauchern Sicherheit bei ihrem Kauf zu geben. Es folgt eine Liste samt GPU-Takt und TGP zur Durchsicht:
Quelle: ASUS Publishes Full GeForce RTX 3000 Series Laptop GPU Specifications Including TGP and Frequency









